Y 型微通道兩相流內部流動特性下
2 結果與討論
2.1 Y 型微通道內液液兩相流流型特征在正交 T 型微通道中隨連續相毛細數 (Cac =ηv/γ,η 和 v 分別是連續相的黏度和速度,γ 為二相介質間的界面張力) 的變化,微液滴的形成過程表現出擠壓、滴流和噴射這 3 種不同的機制. 當連續相毛細數值較小時,液滴是在分散相對連續相的流動阻力和其內部表面張力相互作用的情況下形成的. 此時,液滴的形成為擠壓機制. 當連續相毛細數不斷增大超過某一臨界值后,液滴的形成進入滴流機制,此機制下,液滴的形成是液滴內部的表面張力和其所受的剪切力相互作用的結果. 而最新的研究表明在擠壓和滴流機制之間,存在著一個明顯的過渡機制.
本文驗證了在 Y 型微通道下,隨連續相毛細數的增長液滴先后經歷了擠壓、過渡和滴流這 3 種不同的形成機制. 對應不同的機制,可得到不同的流型,而分散相毛細數 (Cad) 的變化對液滴的形成機制沒有直接的影響. 在擠壓機制下,分散相形成段塞流 (圖 3(c)),其液滴長度 L > 2w (w 為主通道的寬度). 在過渡機制下,形成的彈狀流液滴呈卵石型 (圖3(b)),而滴流機制下的液滴流液滴近似圓球 (圖 3(a)).此外通過實驗還觀察到柱狀流 (圖 3(d)) 及并行流 (圖3(e)). 柱狀流為不穩定流型,隨著穩定時間延長,此流型會逐漸向穩定流型并行流轉變. Y 型微通道內典型流型如圖 3 所示,以 Y 型角度為 90? 為例.
圖 3 高速攝影技術拍攝的 Y 型微通道內液液兩相典型流型圖(α = 90?)
2.2 液滴破裂過程中兩相液體的速度及壓力分布
圖 4 為分別利用高速攝影、顯微粒子圖像測速技術及數值模擬得到的 Y 型微通道內液滴在擠壓機制下的破裂過程及對應的連續相速度矢量圖,以 Y型角度為 45? 為例. 由于兩相液體以一定角度相向交匯,導致連續相液體速度在交匯處大部分發生偏轉,剩下一部分液體還保持原來的速度方向. 進入主通道后,連續相速度方向相切于兩相界面,隨著分散相逐漸進入主通道,連續相速度矢量保持與兩相界面相切,直至分散相破裂. 說明 Y 型微通道內分散相液滴的破裂除受到其內部的表面張力外主要受到來自連續相的剪切作用. 由圖 4 可知,數值模擬結果與實驗結果能夠較好吻合,驗證了利用數值模擬方法進行微尺度下兩相流研究的可靠性. Y 型角度不同,兩相液體在交匯處所成角度也存在差異,如圖 5所示. 隨著 Y 型角度的減小,在交匯處連續相速度方向發生偏轉的比例逐漸減小,來自連續相流量的速度矢量在兩相交匯處與兩相界面所成角度逐漸減小,即來自連續相流量的剪切作用更顯著.
圖 4 Y 型微通道內液滴破裂過程及對應的連續相速度矢量圖
圖 5 不同角度 Y 型微通道內兩相液體交匯處連續相速度矢量圖
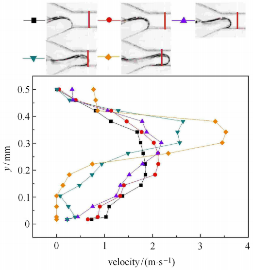
圖 6 為 Y 型微通道主通道橫截面內,由顯微粒子圖像測速技術測量的連續相液體隨分散相液滴逐漸形成過程中的速度曲線. 圖 7 為對照顯微粒子圖像測速技術實驗,通過數值模擬方法得到的在液滴破裂過程中,微通道內兩相液體的壓力云圖,用以解釋連續相速度剖面發生變化的原因,以 Y 型角度為 45? 為例. 首先由圖 6 觀察到當分散相開始進入主通道時,連續相速度剖面同微通道內液體單向流動時的泊肅葉 (Poiseuille) 分布一致,速度大小保持拋物線型,即通道中間速度最大,其大小達到連續相液體入口速度 (0.02 m/s),靠近通道壁面的速度最小(接近 0 m/s). 而隨著時間的增加,分散相逐漸進入主通道中,連續相速度剖面雖然還保持為拋物線型,但是拋物線的頂點速度變大,增大的幅度達到連續相入口速度的 10% (約為 0.022 m/s),曲線更陡峭. 結合圖 7 觀察到在液滴生成過程中,液滴頭部的壓力最大,同時與之相對應的主通道內連續相壓力也有所增大,說明分散相向主通道運動的同時擠壓著靠近其頭部的連續相液體,因此使得受到擠壓的連續相液體中間速度變大,解釋了連續相速度拋物線頂點速度變大的原因. 而對于與分散相頭部相切的連續相液體,速度剖面中的速度拋物線頂點向上壁面移動,且峰值變大;當主通道的某一橫截面內同時被連續相和分散相占據時,連續相的最大速度達到最大值,增大幅度約為連續相入口速度大小的 2 倍左右(約為 0.035 m/s),且速度拋物線頂點繼續向上壁面移動 (圖 6). 這說明連續相受到來自分散相的擠壓作用更大,才導致其速度變大. 此外由圖 7(a)~7(c) 可知,隨著連續相在兩相交匯處壓力的增大,液滴開始發生頸縮,且在分散相通道與主通道交點處液滴內部的壓力逐漸由 310 Pa 增大至 370 Pa,且交點處的最大壓力面積發生擴散,最后在壓力最大位置的中心處發生破裂. 而在兩相交匯位置處,連續相液體的內部壓力隨著分散相開始進入主通道而變大,變化幅度約為 100 Pa;當液滴開始頸縮后,連續相內部壓力繼續增大至 250 Pa;當液滴即將發生破裂時,連續相內部壓力不再繼續增大,而是發生小幅度減小,壓力降至 225 Pa (圖 7(d));隨著分散相液滴完成破裂后,連續相在分散相頸縮附近的壓力繼續下降至 100 Pa(圖 7(e)),此后進入液滴生成的下一周期,說明液滴的生成伴隨著兩相流壓力的周期性變化.
圖 6 顯微粒子圖像測速技術測量的 Y 型微通道主通道距離兩相交匯 600 μm 處橫截面上的連續相速度剖面
圖 7 數值模擬液滴生長過程中,Y 型微通道內兩相流壓力云圖
2.3 液滴直徑及生成時間的影響因素分析
圖 8 為經過高速攝影拍攝后,利用 ImageJ 軟件對圖形進行測量,得到的不同 Y 型角度微通道在不同兩相毛細數下生成的液滴流液滴的直徑. 當 Y 型角度小于 135? 時,液滴大小不受 Y 型微通道角度的影響而變化. 但是當 Y 型角度增大到 180? 時即為對流 T 型微通道,液滴直徑較 Y 型微通道大,增大的幅度在 2% 以內. 說明在乳化、混合過程中利用 Y 型微通道可得到體積更小的液滴,以使其乳化、混合效果最好. 此結論與 Steegmans 等利用微通道深度較其寬度小很多的 Y 型微通道得到的結論一致. 兩相流毛細數的變化同樣對液滴直徑有著重要影響,當分散相毛細數不變,連續相毛細數增大 25% 左右時,液滴直徑減小幅度約為 3.4%~3.7%;當連續相毛細數不變,分散相毛細數增大 25% 時,液滴直徑相應增大 1.7%~2%. 兩相毛細數對液滴大小的影響主要在于:當兩相液體相遇后,在兩相交匯處形成分散相/連續相界面,分散相在壓力推動和連續相剪切力作用下與連續相同步向前運動,當界面張力不足以維持連續相施加的剪切力時,分散相斷裂生成獨立的液滴. 而當連續相毛細數增大時,其自身的黏性力作用增強,分散相受到來自連續相的剪切作用相對增大,因此分散相更容易破裂,形成的液滴更小,且連續相比分散相對液滴直徑的影響作用更大.
圖 9 為經過高速攝影拍攝后,所得的不同 Y 型角度的微通道在不同兩相毛細數下生成液滴的時間.雖然 Y 型角度對液滴直徑的影響很小,但其對液滴生成時間的影響作用更大. 隨著 Y 型角度的增大液滴生成的時間更長,圖 5 中不同角度 Y 型微通道內兩相液體交匯處連續相不同的速度矢量分布可解釋此原因. 隨著 Y 型角度的減小,來自連續相流量的速度矢量在兩相交匯處與兩相界面所成角度逐漸減小,即來自連續相流量的剪切作用更顯著,導致了兩相界面的失穩,隨后液滴破裂. 微液滴的主要生成過程是如何施加足夠大的作用力以擾動連續相與分散相之間存在的界面張力使之達到失穩. 通常分散相某處施加的力大于其界面張力時,該處微量液體會突破界面張力進入連續相中形成液滴. 圖 9 中兩相毛細數對液滴生成時間的影響,可以說明液滴形成的機制. 當分散相毛細數或連續相毛細數增大時,導致兩相液體黏性力增大,使得兩相界面的不穩定性增強,因而液滴破裂生成的時間更短.
圖 10 為不同連續相毛細數下,Y 型微通道內分散相液滴破裂前連續相速度矢量圖,以 Y 型角度為90? 為例. 從圖 10(a) 中可以觀察到,當連續相毛細數較小時,兩相交匯處連續相的速度矢量除一部分指向主通道方向,還有一小部分在兩相界面上產生一個很小的渦. 而隨著連續相毛細數的增大,這個渦逐漸消失,連續相在遇到分散相時速度矢量角度逐漸變小,直至與兩相界面相切,如圖 10(b) 所示. 此外,連續相毛細數的增大使得分散相破裂的位置更靠近兩相交匯位置,頸縮長度更短. 說明連續相毛細數的增大不僅增強了其內部的黏性力,還使得連續相在兩相交匯位置處對分散相的作用力更集中,導致分散相頸縮長度更短、更易破裂. 因此從兩相流內部流動情況解釋了不同連續相毛細數下,分散相形成液滴的大小以及生成周期的不同.

圖 10 液滴破裂前連續相速度矢量圖
3 結 論
(1) Y 型微通道中,隨連續相毛細數的增大,液滴先后經歷了擠壓、過渡和滴流這 3 種不同的形成機制. 在擠壓機制中,分散相液滴的破裂除受到自身的表面張力外,來自連續相的剪切作用效果明顯,Y型角度越小,分散相所受到的剪切作用越大.
(2) 液滴生成過程中,當主通道中同時填充兩相液體時,連續相速度剖面呈非對稱拋物線型分布且最大速度達到最大. 而液滴的破裂過程伴隨著兩相液體內部壓力的周期性變化,在液滴破裂瞬間,其分散相頸縮部分的壓力值達到最大.
(3) 當 Y 型角度小于 180? 時,角度的變化對液滴直徑大小影響較小,但角度的減小加快了液滴的生成時間. 當 Y 型角度為 180? 時,生成的液滴體積最大且生成時間最長.
(4) 毛細數同時影響著液滴直徑大小和生成時間. 當連續相毛細數增大或分散相毛細數減小時,液滴直徑減小;當分散相毛細數或連續相毛細數增大時,液滴生成時間變短. 連續相毛細數的增大使得連續相在兩相交匯位置處對分散相的作用力更集中,導致分散相頸縮長度更短、更易破裂.
免責聲明:文章來源網絡 以傳播知識、有益學習和研究為宗旨。 轉載僅供參考學習及傳遞有用信息,版權歸原作者所有,如侵犯權益,請聯系刪除。
標簽:   微流控芯片
