過程強化技術前沿-聚苯胺的連續化制備及其在超級電容器領域的應用
超級電容器是介于傳統電容器和充電電池之間的一種新型儲能裝置,它既具有電容器快速充放電的特性,同時又具有電池的儲能特性。導電高分子(聚苯胺、聚吡咯、聚噻吩等)是超級電容器的一類重要電極材料。化學氧化法是制備導電高分子的常用方法之一,該制備方法簡單、成本低,并且制備得到的導電高分子電導率高、環境穩定性良好。然而,化學氧化法制備導電高分子過程中會釋放大量的反應熱,常規釜式反應器很難將反應熱及時移出,難以實現反應的精確可控。今天介紹兩篇文章,作者利用微反應器良好的傳質傳熱特性,提出了一種基于液-液兩相流的連續化制備聚苯胺的方法,并對反應過程中的傳質機理和溶劑影響進行了系統的實驗探究。
第一作者:宋揚
通訊作者:蘇遠海 特別研究員
通訊單位:上海交通大學化學化工學院
全文速覽
1、提出了一種基于液-液兩相流的連續化制備聚苯胺的方法,并對兩相傳質過程進行了研究;
2、探究了共溶劑對聚苯胺形貌和性能的影響;
3、制備的聚苯胺可用作超級電容器電極材料,表現出良好的電化學性能。
背景介紹
聚苯胺是一種具有特殊的電學、光學性質的高分子材料,經摻雜后可具有良好的導電性及電化學性能。基于化學氧化機理的界面聚合是制備聚苯胺的常用方法之一,然而苯胺的化學氧化聚合在反應屬于強放熱反應(△H= ?105 kcal/mol),反應過程難以得到精確有效的控制;此外,該反應過程中,會有大量的固體產物累積在相對靜止的兩相界面,阻礙兩相間的傳質,使反應時間變長。因此急需開發一種高效、可控制備聚苯胺的新方法。
全文圖解
圖1 連續流制備聚苯胺反應裝置(A、B)與反應器內液-液兩相流(C、D)示意圖。
在論文中,作者利用微反應器良好的傳質傳熱特性,提出了一種基于液-液兩相流的連續化制備聚苯胺的方法,能有效控制反應溫度,通過高速攝像技術原位觀察到微反應器內存在明顯的液滴內循環現象,內循環提高了兩相傳質效率,顯著縮短了反應時間。而且,聚苯胺顆粒被包裹在分散相液滴內,有效避免了微通道堵塞問題。
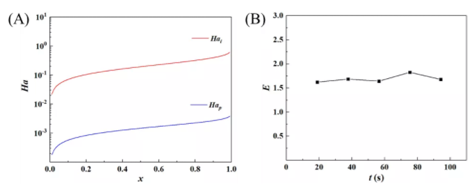
圖2 聚合反應過程中八田數(Ha)隨苯胺轉化率的變化(A);不同停留時間下,聚合反應對傳質的影響(B)。
作者在實驗研究中發現,產物總是分布在分散相液滴內部而不是集中在兩相界面。為了更直接的解釋這一現象,作者對反應過程中的傳質現象進行了研究,基于雙膜模型,通過計算八田數(Ha)發現有85%的單體在分散相主體中發生聚合反應,僅有15%的單體在兩相界面處發生聚合反應。通過進一步的研究發現,聚合反應促進了兩相間的傳質,傳質效率被提高了1.5倍左右。
圖3 聚苯胺的電化學性能。
此外,作者研究了共溶劑對聚苯胺制備的影響,研究表明聚苯胺的形貌隨著反應介質的不同而變化,并用Hansen參數和Flory-Huggins理論解釋并預測了形貌的變化規律。此外,對產物的電化學性能進行了表征,在三電極體系下,測試了以聚苯胺作為電極材料的超級電容器性能,實驗結果表明,在電流密度為1 A/g的條件下,比電容可達343~426 F/g;在500 W/kg的功率密度下,最大能量密度為59.2 Wh/kg。
小結
通過實驗得出以下結論:在微反應器內實現了基于液-液兩相流的聚苯胺連續化制備,該方法有望被拓展到聚吡咯、聚噻吩等導電聚合物的制備過程中。通過高速攝像技術觀察到了微反應器內的液滴內循環現象。通過對兩相傳質的研究,更深刻地認識了反應過程,合理的解釋了實驗中觀察到的聚合反應在主要集中在分散相液滴內部進行的現象。同時證明了聚合反應促進了兩相間的傳質。應用Hansen參數和Flory-Huggins理論解釋了不同共溶劑條件下制備的聚苯胺的形貌變化。而且,制備的聚苯胺在在三電極測試體系下,表現出良好的電化學性能。該研究表明,通過基于液-液兩相流連續化制備的聚苯胺在超級電容器材料領域具有一定的應用潛力。
想要了解更多內容,請點擊下方鏈接或閱讀原文:
https://doi.org/10.1016/j.cej.2018.07.166
https://doi.org/10.1016/j.ces.2019.07.008
免責聲明:文章來源《 化工過程強化 PI》-微信公眾號 以傳播知識、有益學習和研究為宗旨。 轉載僅供參考學習及傳遞有用信息,版權歸原作者所有,如侵犯權益,請聯系刪除。
