一種高感度深紫外正性化學增幅型抗蝕劑的制備
光致抗蝕劑(又稱光刻膠)是光刻成像技術中的基礎材料。化學增幅概念于20世紀80年代初提出,逐漸成為光致抗蝕劑研究及商品化的技術基礎。化學增幅技術原理是光產酸劑(PAG)經過光照產生的酸在后烘過程催化曝光區域發生進一步化學反應,使光化學反應效率獲得大幅提升。KrF激光(248nm)光刻技術是目前主流的半導體加工光刻技術之一,248?nm光致抗蝕也普遍采用化學增幅體系.
本文從乙烯基醚雙鍵與酚羥基反應出發,與以往此類反應需要催化劑不同,將PHS和環己基乙烯基醚(CVE)在加熱及不使用催化劑條件下,反應得到縮醛保護聚合物。該聚合物含有高酸解活性的縮醛保護基團,與光產酸劑PAG等組成新型248?nm正性化學增幅型抗蝕劑材料。同時設計并制備了對羥基苯乙烯?金剛烷基甲基丙烯酸酯共聚物作為成膜材料的一部分,可有效提高抗蝕劑膜層的玻璃化轉變溫度。制得的248?nm正性化學增幅型抗蝕劑具有高感度及高分辨率的性質。
1實驗部分
1試劑與儀器
聚對羥基苯乙烯(Mw=12200,Mw/Mn=1.08,日本曹株式會社VP?8000)、3?羥基?1?金剛烷基甲基丙烯酸酯、環己基乙烯基醚及四甲基氫氧化銨均為市售工業品,其它常用原料為分析純試劑。二砜類光產酸劑按文獻方法自制,其結構見Scheme1.

紅外光譜(FTIR)采用美國Nicolet380傅里葉變換紅外光譜儀測定,固體采用KBr壓片法,液體采用液膜法;紫外吸收光譜測試采用北京普析通用儀器有限責任公司的TU?1901雙光束紫外可見分光光度計;1H核磁共振采用德國BrukerAdvanceⅢ傅里葉變換?核磁共振波譜儀測定,四甲基硅烷(TMS)為內標,400MHz;熱性質和玻璃化轉變溫度采用瑞士METTLERTOLEDO公司的TGA熱重分析儀和DSC1差熱分析儀測定,升溫速率10K/min,氮氣流量為20mL/min,液氮冷卻;光源光強采用北京師范大學光電儀器廠的紫外輻照計UV?A測定。
2實驗過程
2。1聚對羥基苯乙烯?環己基乙烯基醚縮醛保護聚合物(PHS?CVE)的制備將聚對羥基苯乙烯(PHS,9.600g,0.08mol)和環己基乙烯基醚(CVE,10.08g,0.08mol)置于裝有溫度計和冷凝管的三口瓶中,加入20mL丙二醇甲醚醋酸酯(PGMEA)作為溶劑,在氮氣保護下,升溫至120~130℃,反應3h。用紅外光譜監測反應進程。反應結束后,將反應液冷卻至室溫,滴加至適量石油醚中,析出白色固體,抽濾,石油醚洗滌3次,于50℃真空干燥至恒重,得到17.53g聚對羥基苯乙烯?環己基乙烯基醚反應產物(PHS?CVE),產率89.1%。反應過程如Scheme2所示。
Scheme2PreparationofPHS?CVE
1.2.2對羥基苯乙烯?3?羥基?1?金剛烷基甲基丙烯酸酯共聚物[P(4?HS?ADMA)]的制備在備有冷凝管和溫度計的四口瓶中加入對乙酰氧基苯乙烯(12.96g,0.08mol)、3?羥基?1?金剛烷基甲基丙烯酸酯(4.73g,0.02mol)和正十二硫醇(0.18g,質量分數1%),溶于50mLTHF中,磁力攪拌均勻。將偶氮二異丁腈(0.16g,摩爾分數1%)溶于10mL二甲基亞砜(DMSO)中,作為引發劑,在通入氮氣,加熱升溫至60℃時,滴入反應體系中,30min加完。保持溫度在60~65℃,繼續反應約3h。反應結束后,冷卻至室溫,加入濃鹽酸進行水解,紅外監測反應進程,約24h乙酰基水解完成,在室溫下加入適量水中,析出白色固體,抽濾,用水洗滌至中性,真空干燥至恒重,得到白色粉末狀固體15.89g,產率為89.8%。
1.2.3縮醛保護PHS的性質表征將P(HS?ADMA)與PHS?CVE分別按照不同質量比溶解于乙醇中,充分攪拌均勻后滴入水中析出白色固體,真空干燥至恒重得到白色粉末狀固體。測定此固體混合物的玻璃化轉變溫度。配制質量分數為10%的PHS?CVE的PGMEA溶液,涂布于石英片上,在100℃烘干90s,形成均勻膜層,利用TU?1901雙光束紫外可見分光光度計測定其紫外吸收光譜。取1gPHS?CVE和0.03g二砜類光產酸劑,溶于7.5mLPGMEA中,將溶液涂于KBr片上,于100℃烘90s除去溶劑,以低壓汞燈(254nm)為光源(曝光量為50mJ/cm2,曝光1min),測定曝光前后固體膜層的紅外光譜。
1.2.4化學增幅型248?nm抗蝕劑材料的成像實驗將質量比為1∶1的PHS?CVE,P(HS?ADMA)以及二砜光產酸劑(成膜樹脂固含量的5%)配制成總固含量為15%的PGMEA溶液。充分溶解后,用孔徑為
0.2μm濾膜過濾得到溶液,離心旋涂于六甲基二硅胺烷處理過的硅片上(轉速:4000r/min),于90℃前烘60s,得到厚度為190nm的抗蝕劑膜層。采用ASMLScannerPAS5500/800型KrF激光步進曝光機進行曝光成像實驗,曝光后,分別在80和100℃后烘60s,室溫下用2?38%四甲基氫氧化銨水溶液顯影60s,并用去離子水沖洗,烘干,在掃描電鏡下觀察形貌。
2結果與討論
1材料制備
PHS和CVE的縮醛保護反應可用紅外光譜監測反應進程(如圖1所示)。圖1譜線a為PHS紅外光譜,譜線b為反應體系的紅外光譜。隨著反應的進行,3375cm-1處酚羥基—OH伸縮振動吸收峰減弱,同時在1141,1043cm-1處出現C—O—C伸縮振動吸收,表明反應進行。FTIR(KBr),ν?/cm-1:3375(—OH),2929(C—H),1141,1043(C—O—C),1512,1608(benzeneskeleton)。
Fig.1FTIRspectraofPHS(a)andreactionproduct(b) Fig.21HNMRspectrumofPHS?CVE
PHS和CVE的投料摩爾比為1∶1(按聚合單體計)時,所得的縮醛保護產物的1HNMR譜圖如圖2所示。可見分別與氧原子相連的次甲基上的氫原子Hb(δ3.55,0.5H),Hc(δ5.41,0.5H)以及苯環的氫原子ArH(δ6~7,4H)。通過積分面積計算得出縮醛基團比例為50%。1HNMR(400MHz,CD3OCD3),δ:8.0~9.0(PHS,0.47H),6.0~7.0(ArH,4H),3.55(—CHofCVE,0.50H),5.41(—CHofCVE,0.50H),3.33(H2O),0.8~2.0(—CH,—CH2,—CH3,10?70H)。通過改變PHS和CVE的投料比可制得不同保護率的縮醛保護聚對羥基苯乙烯。
2.2性質表征
2.2.1溶解性縮醛保護產物PHS?CVE易溶于常用光刻膠溶劑如PGMEA、乳酸乙酯、乙二醇乙醚,也易溶于N,N?二甲基甲酰胺、甲醇、丙酮、二氧六環、乙酸乙酯、四氫呋喃、醋酸丁酯以及環己酮等常用有機溶劑。
2.2.2熱穩定性縮醛保護聚合物PHS?CVE的熱重分析曲線如圖3所示。起始熱分解溫度在125℃,具有較好的熱穩定性。此外,在密閉條件下,這種聚合物具有很好的儲存穩定性,但在接觸空氣后,在濕氣作用下會逐漸分解。
2.2.3玻璃化轉變溫度PHS具有較高的玻璃化轉變溫度(Tg),但縮醛保護后的聚合物中的柔性保護基團使得聚合物的Tg明顯降低。如35%縮醛保護的PHS?CVE的玻璃化轉變溫度約為75℃,其Tg曲線如圖4所示。這樣低的Tg不能單獨用作光刻膠的成膜樹脂,這是因為感光成像后的光刻加工需要比較高的溫度,較低的Tg溫度容易導致微細圖形的變形。因此考慮加入高Tg且相容性、堿溶性都要好的聚合物以提高光刻膠膜層的Tg。
將縮醛保護后聚合物PHS?CVE與對羥基苯乙烯與甲基丙烯酸金剛烷酯的共聚物P(4?HS?ADMA)混合,測定混合物的Tg曲線如圖5所示。質量比為1∶1的混合物的Tg為116℃,質量比為1∶2的混合物的Tg為122℃。加入P(4?HS?ADMA)后,玻璃化轉變溫度有明顯提升,P(4?HS?ADMA)相對含量越高,樹脂混合物的玻璃化轉變溫度越高。由Tg曲線可見,2種聚合物的混合物只有1個Tg,表明其具有較好的相容性。
Fig、3TGAcurveofPHS?CVE Fig、4DSCcurveofPHS?CVE
Fig、5DSCcurvesofthemixtureofPHS?CVEandP(4?HS?ADMA)
Fig、6UVspectraofPHS(a)andPHS?CVE(b)
2.2.4紫外吸收光譜PHS是248?nm光刻膠常用的成膜樹脂,因其在248nm處有良好的透明性。PHS和PHS?CVE聚合物薄膜的紫外吸收光譜如圖6所示。縮醛保護后的PHS的紫外吸收變化不大,在248nm處吸收較弱,透明性良好,可用于248?nm光致抗蝕劑材料。
2.3縮醛保護聚合物酸解活性
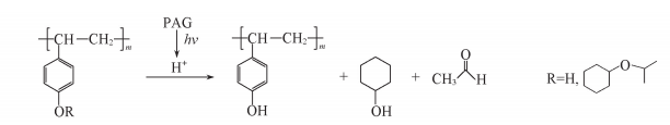
圖7是含5%二砜類光產酸劑的PHS?CVE膜層在曝光前、曝光60s(曝光量:50mJ/cm2)以及曝光60s并在100℃后烘60s的紅外光譜。曝光后,3370cm-1處羥基吸收峰有明顯增強,可見,曝光后PHS?CVE在室溫下就能發生酸解。曝光再經后烘,3370cm-1處羥基吸收峰繼續增大,表明PHS?CVE進一步酸解。同時,曝光后,在1042cm-1處—C—O—C—鍵振動吸收峰輕微減弱,繼續后烘60s,縮醛—C—O—C—鍵振動吸收峰明顯減弱。說明縮醛結構在強酸催化下能夠發生分解,室溫即可酸解,100℃后烘之后酸解更徹底.縮醛保護的聚合物的酸催化脫保護反應如Scheme3所示。PAG光照產生的H+催化PHS?CVE分解為聚對羥基苯乙烯、環己醇和乙醛。
2.4化學增幅型248?nm光致抗蝕劑的成像性能
縮醛保護的聚對羥基苯乙烯具有高酸解活性,因此可以和光產酸劑等組成化學增幅型正性光致抗蝕劑。通過嘗試各種光產酸劑,發現常用的離子型的鹽光產酸劑會導致縮醛保護基逐漸分解,而非離子型光產酸劑可組成穩定的光致抗蝕劑溶液。
Scheme3AcidcatalyzeddeprotectionreactionofPHS?CVE
以PHS?CVE和聚對羥基苯乙烯?甲基丙烯酸金剛烷酯為成膜樹脂,與二砜類光產酸劑組成了三組分光致抗蝕劑,采用KrF激光(248nm)光刻設備進行初步的成像性能評價。在10mJ/cm2的曝光量下,可得到線寬為180nm的圖形,SEM圖如圖8所示。光刻膠膜厚為200nm,最小曝光量E0為5mJ/cm2,留膜率在99%以上。后烘溫度分別在80和100℃時,感度無明顯差別。
用PHS?CVE和二砜光產酸劑組成二組分光致抗蝕劑,進行KrF激光光刻成像評價。在100℃后烘條件下,最小曝光量E0可達到3mJ/cm2,在6mJ/cm2的曝光量下得到的200nm線寬圖形質量較差,線邊緣粗糙度大,表明在后烘過程中的酸遷移作用大,線條容易發生變形。商品化的248?nm光刻膠的感度一般在50mJ/cm2左右,與之相比由縮醛保護聚對羥基苯乙烯組成的光刻膠的感度獲得大幅提高,這是由于縮醛保護基具有很高的酸解活性。成像實驗表明這是一種高感度、高分辨率的248?nm光刻膠。
Fig.8SEMimageofpositive?tonepatternswith180nmlinewidthobtainedfromthethree?componentresistcomposedofPHS?CVE
3結論
聚對羥基苯乙烯可與環己基乙烯基醚在加熱120~130℃且無需催化劑存在下反應得到縮醛保護的聚合物,這種聚合物熱分解溫度在125℃以上,在248nm處具有很好的光透明性并且易溶于常用光刻膠溶劑。由于縮醛保護基具有很高的酸解活性,因此可以和非離子型光產酸劑等組成化學增幅型深紫外正性光致抗蝕劑。采用KrF激光步進曝光,在10mJ/cm2曝光量,100℃后烘,可得到180nm線寬圖形,留膜率在99%以上,是一種高感度、高分辨率的248?nm光刻膠。縮醛保護基團會導致聚對羥基苯乙烯成膜材料的Tg降低,在光刻膠中加入玻璃化轉變溫度相對較高的聚對羥基苯乙烯?甲基丙烯酸?3?羥基?1?金剛烷基酯共聚物可有效提高光刻膠膜層的玻璃化轉變溫度,從而降低后烘過程中酸遷移的影響,并更好地適應后續光刻工藝的要求。
文獻來源高等學校化學學報 Doi:10.7503/cjcu20160804作者:吳立萍, 胡凡華, 王倩倩, 王 菁, 王力元(轉載僅供參考學習及傳遞有用信息,版權歸原作者所有,如侵犯權益,請聯系刪除)
