一種力–電協同驅動的細胞微流控培養腔理論模型
在臨床治療中, 植入自體細胞(考慮到組織的相容性)進行組織修復和重建常被認為是最佳的治療方法. 考慮到自身組織移植會造成二次創傷, 獲取大量自體細胞最直接的途徑就是進行細胞的體外培養. 一些研究發現適宜的物理微環境是細胞生長不可或缺的因素, 在體外培養時生物灌流反應器(如圖1)可以方便地模擬體內多種物理微環境. 許多實驗室引入了不同的生物反應器進行細胞培養, 并證明了液流有利于組織的構建。相比靜態培養, 微流控培養腔中的細胞在移植后會對體內的微流動環境具有更強的適應性. 人體的一些組織結構(例如骨)在受到外力時會產生變形, 進而在組織內微液流環境中形成孔隙壓力和流動電位, 這些力、電信號微環境進一步調控當地組織細胞的生長、分化, 最終使組織(重/塑建)適應外部載荷環境. 在體外細胞培養生物反應器上也可施加壓力和電場進行驅動來模擬體內細胞所處的力–電微環境. 很多學者的工作也已經證明壓力和電場的干預可以調控細胞的生長、分化, 雖然明確的作用機理(通路)還不是很清楚, 但已明確的事實是壓力梯度和電場驅動液體流動產生的流體切應力對細胞生長、分化起到了至關重要的作用.
細胞可以感受不同大小的切應力并能做出相應的響應, 能較好地將這些細胞能感受的力電信號和宏觀的外載荷聯系起來, 微流動場被認為是信號傳導的最佳媒介. Chang等[8]得到了牛頓型液體在電場驅動下的流速分布, Ganguly等考慮了電和磁對壓力驅動流傳熱特性的影響, Movahed等對比了壓力和電場驅動小型設備中液流的優劣. 這些研究背景均基于微流控技術, 以討論外力和流速的關系為主, 微流控技術以其用料少、操作性強和便于觀察分析等優點, 近年來受到眾多領域學者的青睞. 在生物醫學領域, Pappas[11]在對癌細胞的生長和擴散進行分析時, 利用微流控技術建立可控規模的反應區評估癌細胞和器官的相互作用. Uzel等在微流控芯片上設定不同的生化梯度, 用于模擬體內細胞所處的化學微環境. Sun等[13]則將微流控芯片應用于細胞的篩選工作, 并通過電場實現微閥控制. 這些研究均以實驗和有限元建模為主要手段, 并未建立系統的理論模型進行具體量化分析, 并探明如下調控機制: 外部物理驅動場→微流體流動行為(流體切應力等)→細胞的生長/分化
在細胞動態流動培養腔中, 細胞多用黏附分子(整合素)將自身吸附在培養腔壁上(避免被液流帶走), 這樣使得液流對細胞的力學刺激作用集中在腔壁附近. Becquart等[15]研究發現, 處于液體環境中的細胞能感知靜水壓力及流體剪切力的刺激信號,并且發現流體剪切力比靜水壓力對引起相關基因表達的誘導作用更大. Stavenschi等在實驗中利用壓力驅動對比了不同大小和頻率的切應力下細胞的基因表達效果, 結果表明2 Pa、2 Hz的切應力刺激最有利于成骨基因的表達. Zhang等也通過實驗發現了人類間充質干細胞(MSCs)基因的表達和流體切應力有極大的關系, 該信號傳導過程也受到供體變異性的影響. 此外, Zheng等同樣通過實驗探究出壓力驅動作用下的切應力影響細胞對刺激的反應時間, 并發現切應力較大時有利于縮短該反應時間.液體壓力梯度驅動流對細胞培養的影響的研究大多停留在實驗層面, 理論方面鮮有報道. 當使用壓力梯度驅動液體在較長的細胞培養腔流動時, 力信號的傳遞從施力點(管口)到管段中央具有延遲性.Glawdel等將電場驅動引入到細胞的體外培養,因為電場力屬于體力, 這樣就可以避免上述壓力梯度驅動力信號沿著腔體長度方向的耗散延遲, 從而保證腔內各個位置細胞附近的流體切應力信號均勻. 同細胞培養腔中的壓力驅動技術類似, 電場驅動或力–電協同驅動研究大多以實驗為主, 例如王淞等通過實驗觀察得出電場對表皮干細胞的增殖有影響, 內源性生物電場具有引導其向陰極定向遷移的作用, Kumar等在壓力驅動流中添加電場作用后細胞的成骨響應明顯增強, 而相關的力–電協同驅動下的細胞培養腔理論研究較少.
考慮到人體內復雜的生理載荷環境, 壓力和電場在組織內并存. 因此, 在體外進行細胞培養時應根據細胞的實際需要組合施加相應的物理場(壓力梯度或電場), 使其所處的環境更接近于生理物理環境.以上研究均沒有得到具體的外部物理驅動場與相應培養腔內液體流動行為的量化關系, 而這是進一步研究流體刺激特別是力–電協同刺激細胞生長或分化機理的前提. 為此, 本文將分別建立壓力梯度、電場和力–電協同三種驅動模式下的矩形細胞培養流動腔(平行板培養皿)理論模型, 求解得到相應的流速、切應力和流率的解析解, 揭示出培養腔中的液體流動規律, 并將這些解答和實際的細胞培養等生理意義聯系起來. 該模型的建立有助于細胞微流控培養實驗系統及細胞力學參數的優化設計.
1模型建立
假設培養液為不可壓縮的牛頓流體, 在培養腔內的流動可以用下面的式子(動量方程和連續性方程)來描述
其中,u是流體速度矢量,p表示液體壓強,f是流體所受的體力,ρ為細胞培養液的密度,μ是培養液的動力黏度. ?u/?t和u·▽u分別是瞬態項和對流項,△為Laplace算子,▽為梯度算子. 對于生物反應器微流控芯片(如圖1所示)上的矩形細胞培養流動腔(平行板培養皿), 忽略腔寬的影響, 在直角坐標系(x,y)下, 培養腔內的流體可以簡化為二維流動模型(上下腔壁間高為2h, 腔長為l), 在固液界面上的邊界條件為無滑移.
壓力梯度驅動流模型的建立
根據不可壓縮條件, N-S動量方程(1)中的對流項將消失. 由腔管的對稱性, 只需對矩形微腔管中心線的上半部分進行研究. 由于微管通道寬度遠大于高度, 因此可以忽略矩形微通道的寬度(z方向)對沿高度方向上的流速分布的影響. 若微管高度y方向的速度為零, 只考慮x方向的流動, 壓強p僅是關于x和時間變量t的函數, 忽略體力的影響, 壓力梯度驅動液流在xy截面上的N-S動量方程可以表示為
其中,up(y,t)是壓力梯度驅動時x方向的流速分量,?p/?x和ωp分別是沿著x方向的壓力梯度和振蕩角頻率(ωp= 2πfp), 其中–?p/?x=P0/l, 負號“–”表示壓力沿流道方向下降,P0是進出口壓力差的幅值. 上述方程滿足邊界條件
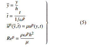
引入無量綱化參數
控制方程(3)變為
假設流速分布滿足初始條件
引入拉普拉斯(Laplace)變換
結合式(7)和式(8)對式(6)進行Laplace變換后有
求解方程(9), 利用海維賽(Heaviside)公式[22]對其結果進行Laplace逆變換, 并還原無量綱化參數得壓力梯度驅動下的流速分布為
切應力τyx分布和流率Q可以表示為
根據式(10)和式(11)可以得到壓力梯度驅動作用下切應力和流率的分布規律為
以上各式中Rep=ρωph2/μ稱為壓力梯度驅動流的振蕩雷諾數,w和l分別為矩形微管通道的寬度和長度.
電場驅動流模型的建立
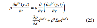
同壓力梯度驅動流的假設相同, 不考慮x方向的壓力梯度的影響, 電場驅動下的方程(1)可以表示為
其中,ue(y,t)是電場驅動時x方向的流速分量(只考慮x方向的流動),ρe是液流中凈電荷分布密度,E0和ωe分別是沿著x方向電場的幅值和振蕩角頻率(ωe= 2πfe). 上述方程滿足邊界條件
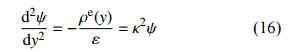
由靜電學理論可知單位體積內的凈電荷密度ρe的值取決于雙電層(EDL)電勢, 對于低的EDL電勢ψ, 若電勢能遠低于熱能, 運用Debye-Hückel的線性化近似后可得Poisson-Boltzmann方程[23]
且滿足邊界條件
求解得凈電荷密度分布
控制方程(14)變為
假設流速分布滿足初始條件(7), 結合式(8)對式(20)進行Laplace變換后有
求解方程(21), 利用Heaviside公式對其結果進行Laplace逆變換, 并還原無量綱化參數得電場驅動下的流速分布為
根據式(11)和式(22), 最終可以得到電場驅動作用下切應力和流率的分布規律為
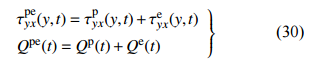
以上各式中Ree=ρωeh2/μ稱為電場驅動流的振蕩雷諾數,w為矩形微管通道的寬度.
力–電協同驅動流模型的建立
考慮力–電協同作用時, 方程(1)同時保留壓力梯度項和體力項(電場力). 這時在xy截面方程變為
其中ωp為壓力的振蕩角頻率(ωp= 2πfp),ωe為電場的振蕩角頻率(ωe= 2πfe). 方程(25)滿足邊界條件
引用式(5)和式(19)的無量綱化參數, 將式(25)及其邊界條件(26)無量綱化后進行Laplace變換并求解可得
將式(27)進行Laplace逆變換并還原無量綱參數可得: 力–電協同作用下的流速解答為壓力梯度、電場單獨作用時解答的代數和, 即為
將式(28)代入式(29)可得, 力–電協同作用下切應力和流率的解析解也為壓力梯度、電場單獨作用所得結果的代數和
2數值參數
細胞培養液中的電解質以NaCl為主, 其濃度設定為10-6mol/L, 微通道腔壁上對應的Zeta電勢為–0.2 V[25], 其他參數見表1. 溫度的變化會影響培養液的粘度和密度, 其對應關系見表2
表1幾何及物理參數
3結果
3.1時程曲線
圖2繪制了壓力梯度驅動頻率為2 Hz和電場驅動頻率分別為1 Hz和2 Hz的時程曲線. 各驅動力時程曲線均為余弦曲線, 波峰代表沿著x軸正向的最大值, 波谷則代表反向的最大值. 從圖3可以看出力–電協同驅動結果是壓力、電場驅動單獨作用結果的代數和.圖3(a)、圖3(c)、圖3(e)分別繪制了壓力、電場及力–電協同三種模式在不同步驅動(fp= 2 Hz,fe= 1 Hz)時腔心(y= 0)流速、腔壁(y=h, 細胞貼壁處)上切應力及流率的時程曲線. 當壓力梯度(t= 0.25 s)和電場(t= 0.5 s)載荷到達波谷時,各自的響應(流速、切應力和流率)同時到達波谷;壓力梯度(t= 0.5 s)和電場(t= 1 s)載荷到達波峰時, 各自的響應也同時到達波峰. 力–電協同的響應值在部分時段相互削弱, 幅值達到最小值(t= 0.5 s);部分時段疊加增強, 幅值可達到最大值(t= 1 s).圖3(b)、圖3(d)、圖3(f)則繪制了三種模式在同步驅動(fp=2 Hz,fe= 2 Hz)時的時程曲線, 壓力梯度和電場載荷到達波谷(t= 0.25 s)和波峰(t= 0.5 s)時, 各自的響應值也同時到達波谷和波峰. 力–電協同作用時,流速、切應力及流率同步疊加增強, 其時程曲線與壓力梯度和電場同時到達波峰和波谷, 且幅值達到最大值. 據此, 本文主要研究增強效果比較明顯的壓力和電場在同步協同驅動的情況.
表2不同溫度下的培養液的黏度和密度
圖 2 壓力和電場隨時間的變化
圖 3 流速、切應力和流率隨時間的變化
3.2流速幅值分布
圖4為壓力梯度驅動下流速幅值隨著壓力、腔高、頻率、溫度的變化圖, 由圖4可知: 從腔壁(y=±h)到腔心(y= 0), 流速從零非線性增大到最大值,在培養腔內呈“拱形”分布. 隨著壓力、腔高和溫度的增大, 腔內各處的流速均隨之增大(見圖4(a)、圖4(b)、圖4(d)), 但頻率增大時流速卻減小(見圖4(c)). 對比各處的流速變化可知, 腔心處的流速變化最大, 腔壁處的流速變化最小.
圖5為電場驅動下流速幅值隨著電場、腔高、頻率、溫度的變化圖, 流速在培養腔內呈“梯形”分布. 在電場的作用下, 培養腔內的流速在一定區域內(y= – 0.998h~0.998h)保持恒定. 當電場強度和溫度增大時, 該恒定流速隨之線性增大(見圖5(a)和圖5(d)). 腔高和頻率增大時, 相同區域內流速則不能保持恒定, 腔心附近的流速會隨之減小, 但腔壁附近(約為y= ± 0.998h處)的流速卻能保持不變(見圖5(b)和圖5(c)). 此外, 由圖5(d)可知溫度對流速的影響較小, 所以電場驅動下腔壁附近的流速主要受控于電場強度.
對比圖4和圖5可以發現, 壓力僅在腔心部分驅動液體產生流速, 而電場驅動卻能在整個腔體維持一定的流速. 壓力幅值(P0= 400~520 Pa)和電場幅值(E0= (1.2~2.0) × 105V/m)一定時, 壓力梯度驅動得到的最大流速幅值較電場驅動的大(約為2~6倍). 對比圖4(a)、圖(d)和圖5(a)、圖(d), 場強和溫度的增大均能使得兩場作用下的流速增大,壓力梯度驅動下增大趨勢在腔心處明顯, 電場驅動下增大趨勢則分布整個腔體. 對比圖4(b)和圖5(b),腔高變化對腔心處流速的影響非常明顯, 隨著腔高增大, 壓力梯度驅動下的腔心流速逐漸增大, 而電場驅動下的腔心流速逐漸變小. 當腔高變化量相同時,壓力梯度驅動下腔心流速幅值的變化范圍要遠大于電場驅動下的變化(約為200倍). 由此可見:腔高變化對電場驅動液體流動行為的影響遠小于壓力梯度. 對比圖4(c)和圖5(c), 兩場的驅動頻率增大時,流速變化均出現在腔心附近且呈減小趨勢.
圖6繪制了力–電協同(同步)驅動下的流速幅值隨著場強、腔高、頻率、溫度的變化圖, 在力–電協同作用下, 腔內各處均能保持一定的流速. 當壓力/電場強度和溫度的增大時, 腔內各處的流速均隨之增大, 腔心處的流速變化要大于腔壁處(見圖6(a)、圖6(d)). 但腔高減小或頻率增大時, 腔心附近的流速減小, 腔壁附近的流速則保持不變(見圖6(b)、圖6(c)). 力–電協同作用時, 壓力(P0= 460 Pa)和電場(E0= 2 × 105V/m)一定時, 腔壁附近(約為y= ±0.95h處)的流速主要由電場驅動(約占80%)提供,腔心附近的流速主要由壓力梯度驅動(約占70%)提供, 可見電場的作用彌補了壓力梯度驅動在腔壁附近流速小的劣勢. 對比圖4、圖5和圖6可知: 力–電協同作用時, 腔心附近的流速可以通過壓力、腔高、頻率、溫度四個參量進行調控, 但腔壁附近流速通過電場調控較為明顯.
圖 4 壓力梯度驅動下流速幅值在不同壓力、腔高、頻率、溫度的分布
圖 5 電場驅動下流速幅值在不同電場、腔高、頻率、溫度的分布
3.3腔壁上的切應力幅值
圖7繪制了壓力、電場和力–電(fp=fe= 1 Hz)協同驅動三種驅動模式下, 腔壁上(y= ±h, 細胞貼壁處)流體切應力幅值隨壓力、電場、腔高、頻率、溫度的的變化規律. 由圖7(a)和圖7(b)可知,切應力幅值隨著壓力和電場的場強幅值增大呈線性增長, 當切應力幅值增大量相同時, 電場的變化值要遠大于壓力的變化值(約為50倍), 由此可見電場驅動時電場強度具有更大的調節空間. 對比圖7(a)和圖7(b), 壓力(P0= 400~520 Pa)驅動下的切應力僅為電場(E0= (0.6~1) × 104V/m)驅動下切應力的1/4. 當壓力(P0= 460 Pa)一定時, 切應力幅值隨著腔高增大線性增大(見圖7(c)), 隨著頻率的增大非線性減小(見圖7(d)), 隨著溫度的變化基本保持不變(見圖7(e)). 在電場(E0= 104V/m)驅動下, 腔高、頻率和溫度的改變時, 切應力基本保持不變. 力–電協同作用下切應力隨各量的變化趨勢和壓力梯度驅動下的變化趨勢相近, 其切應力結果為力、電單獨作用下切應力的代數和. 對比三種驅動模式下切應力的變化可知: 壓力梯度驅動下, 影響切應力變化的外因較多, 可控性差; 電場驅動下, 切應力僅受控于電場強度, 受其它條件約束少, 可控性強.
圖 6 力–電協同驅動下流速幅值在不同場強、腔高、頻率、溫度的分布
3.4流率幅值
圖8是三種驅動模式下流率幅值隨壓力、電場、腔高、頻率、溫度的變化曲線. 由圖8(a)、圖8(b)、圖8(e)可知: 當壓力、電場和溫度升高時, 三種驅動模式下的流率均線性增大. 當腔高增大時, 壓力梯度驅動及力–電協同驅動下的流率呈非線性增大, 電場驅動下的流率保持不變(見圖8(c)). 當頻率增大時, 三種模式下的流率均呈非線性減小(見圖8(d)). 與圖7對比, 在施加的壓力和電場幅值一定(P0= 460 Pa,E0= 104V/m)的情況下, 電場驅動得到的切應力比壓力梯度驅動的大(約為4~9倍),但電場驅動下的流率卻遠小于壓力梯度驅動(約為1/30).
4討論
本文建立了基于微流控的矩形(腔寬遠大于腔高)細胞培養流動腔的理論模型, 該模型可以用來進一步量化其內部液體的壓力、流速、腔壁(細胞貼壁處)的切應力和流率分布, 并得到了壓力梯度、電場、力–電協同驅動微液流動的解析解. 根據Stavenschi等的實驗參數將腔高設置為300 μm、進出口壓力差的幅值和頻率分別為460 Pa和1 Hz時, 模型計算出的流體切應力和流率分別為 0.92 Pa及 45.24 mL/min, 理論計算值與實驗結果基本吻合(如表3所示). 本文詳細考察了外部物理場載荷(壓力和電場驅動幅值、頻率)和環境(腔高、溫度)參數對細胞培養的微流動刺激的影響, 同時也對比了各自物理場驅動的效果, 為外加物理場刺激組織(細胞)生長的機理研究提供理論參考
表3壓力梯度驅動下理論值和Stavenschi等實驗值的對比
考慮到人體組織承受的生理載荷環境, 采用周期性載荷的驅動方式(振蕩流), 以更接近細胞的體內生理環境。相關研究表明振蕩流可以促進細胞在培養腔中更加均勻分布和增殖. 壓力和電場單獨驅動液體流動時, 由時程曲線(圖3)可知施加的驅動載荷和流體刺激結果(腔心流速、腔壁切應力、流率)均能同步達到峰值, 這說明當培養液的黏性較小時, 細胞感受力學信號的即時性非常好. 當壓力和電場協同作用時, 結果呈線性疊加關系, 可見壓力和電場之間不存在相互干擾. 在微流控培養過程中, 細胞的正常生長/分化需要定量的流速、切應力和流率, 三者缺一不可, 但單獨的壓力和電場驅動卻不能保證三者均在引起細胞響應的流體刺激范圍(流速為400~800 μm/s、切應力為0.2~6 Pa[31])之內(見圖4、圖5、圖7). 由圖3~圖8可知: 兩驅動場相比, 電場驅動善于提供較大的腔壁流速和切應力, 壓力梯度驅動善于提供較大的流率. 壓力梯度驅動對細胞貼壁處流體的控制能力較弱, 而電場恰好能彌補這一不足. 因此, 力–電協同驅動的效果(流速、切應力和流率均具有可調控性)將更加明顯. 從圖3還可看出, 當壓力和電場驅動同步時(頻率相同), 流體刺激結果同步線性疊加且相互不干擾, 力–電協同作用下液流刺激效果增強最為明顯.
圖 7 腔壁上切應力幅值隨壓力、電場、腔高、頻率、溫度的變化
流速的增大對細胞均勻分布生長有一定的促進作用, 這可能是由于流速的改變會影響營養物質的運輸速率, 進而改變細胞的生長取向. 速度梯度(y軸方向)的增大也會引起較強的剪切刺激, 研究發現培養液流速會影響骨細胞形態和胞外基質的分泌和沉積, 灌流速度為 400~800 μm/s時成骨響應最佳. 由于培養過程中細胞大多貼壁生長, 因此控制腔壁附近的流速至關重要. 在腔壁附近, 壓力梯度驅動流下的流速基本接近于零(見圖4), 而電場驅動流卻能保持相對穩定的流速(見圖5), 這與song等所得流速圖的結果大致吻合. 由圖6可知力–電協同作用時腔壁附近的流速大小主要由電場來調控: 為了在腔壁附近獲得相對穩定的流速, 可通過改變電場強度來實現(見圖5(a)). 當電場強度控制為2 ×105V/m時, 距離腔壁約h/500處的流速大小保持為0.038 m/s, 由于流速正比于電場場強(與Bera等所得的流速與電場場強成線性增長關系的結果一致), 為了滿足成骨的最佳響應值(400~800 μm/s),電場強度應減小50~100倍. 如果流速代表物質的運輸速率, 流率則代表著單位時間內的物質運輸量,保證腔壁處的流體刺激(流速及切應力(0.2~6 Pa[31]))在細胞響應范圍內的同時, 為了滿足細胞的新陳代謝——養料、廢物的及時供應與排除, 也需要保證一定的流率。流率因驅動方式的不同而不同, 從圖8可以看出: 在一定的驅動幅值內, 電場驅動(E0= 104V/m)下的流率遠小于壓力梯度驅動(P0=460 Pa)下的, 當力–電協同作用時可獲得較大的流率. 壓力梯度驅動下流率的波動范圍受驅動載荷和環境參數的影響較大, 可以根據實際需要選擇力–電協同驅動模式彌補不足.
圖 8 流率隨壓力、電場、腔高、頻率、溫度的變化
流體剪切應力是刺激細胞響應的重要力學因素信號, 在細胞微流控培養的生物反應器設計中是被著重考慮的流體刺激因子. 一些研究根據流率估算切應力, 且認為距離腔壁小于h/4的范圍內均受切應力的影響, 本文則根據牛頓內摩擦定律精確獲得了腔壁處流體切應力的大小. 腔壁處切應力隨著壓力和電場的增大均呈線性增大趨勢, 與壓力梯度驅動相比腔高的變化對電場驅動下的切應力基本沒有影響(圖7). 根據腔壁處流速的取值(400~800 μm/s)可以確定電場的變化范圍應為2 000~4 000 V/m, 相應得到的切應力范圍約為1~2 Pa. 基因的表達決定著細胞的分化方向, 總結Stavenschi等[6]實驗結果發現切應力為2 Pa時對成骨的相關基因表達最有利, 可見調節外部電場強度就能從基因水平上調控細胞的分化. 由于電場驅動下的切應力受腔高影響較小, 這樣在使用電場驅動時勿需對腔高作過多要求, 但可以適當調控腔高以保證合適的流率. 壓力梯度驅動下的切應力受腔高的影響較大(正比關系), 且壓力梯度驅動幅值控制為460 Pa以下時切應力幅值在1 Pa以下, 減小腔高甚至可以接近很低的切應力水平(見圖7(b)). Gao等[5]發現極低切應力(10-3Pa)能促使MSCs的遷移和成骨分化,這種極低切應力是非常值得關注的. 例如在人靜坐時, 對骨組織的力刺激僅來源于肌肉的收縮, 相比運動狀態, 這種微小的外力極易產生較低的切應力刺激. Zheng等發現MSCs在切應力的刺激下會產生收縮和再擴散現象, 如實驗中對細胞施加不同的切應力(1.3 Pa, 9.8 Pa和14.7 Pa)時會影響細胞開始收縮的時間, 并發現切應力越大細胞從接種到開始收縮的時間越短. 考慮到高強度電場取值的困難, 壓力梯度驅動所得的腔壁切應力較小等情況, 可以采用力–電協同驅動的方式來達到細胞組織工程所需要的切應力刺激水平.
在研究載荷驅動頻率對細胞生長的影響時,Tanaka等發現外部物理場驅動頻率為2 Hz時最有利于成骨細胞的礦化. 結合圖5(c)和圖7(d), 頻率的改變對腔壁處流速和切應力的影響均較小, 因此頻率對細胞的響應通路不是通過改變流速和切應力的大小來實現的. 壓力和電場驅動頻率為2 Hz時均能得到較大的流率, 因而此頻率可以為灌流培養過程提供設計參考. 由此可見: 細胞對載荷幅值的敏感性要比對載荷頻率的敏感性強. 本文選取的溫度值在37℃左右小幅波動, 對切應力的影響可以忽略(如圖7(e)). Stolzing等研究也發現在37℃的基礎上適當降低溫度不影響MSCs的活性, 但分化程度增加、氧化損傷的積累降低、細胞凋亡減少. 溫度降低時, 培養液黏度會增大, 流速、流率隨之減小,但減小的幅度不大(見圖4(d)、圖5(d)、圖8(e)), 所以在實際的灌流培養中可根據細胞的具體需要適當調控培養溫度. 另外, 在微流控培養腔中, 利用電場進行驅動時, 通常是通過對浸入培養液中的電極施加電壓信號實現的. 而在這個過程中當電壓較高時(> 2.2V), 電極附近就不可避免地發生電化學反應,進而會導致附近培養液pH值的相應變化。 對于非飽和的強電解質(NaCl)水溶液而言, 電解主要以水解反應為主, 當正負電極附近產生H+和OH–離子后, 在電場的作用下, 帶電離子向相反的電極運動,這些帶電離子在各自相對的電極被完全中和. 由此可見: 電極的電解作用僅對電極附近的pH值有一定影響, 對培養液的整體無影響. 這與畢穎楠等的研究結果是相同的, 他們設定的溶液初始pH為7.8,電場作用10 min, 溶液的導電性穩定后, 陽極處的pH值變為7.0, 陰極處的pH值變為8.5. 楊勁松等[42]通過實驗發現MSCs在pH值為7.2~7.4的培養液中生長活躍, pH值大于7.4時, 逐漸停止增殖, pH值小于7.2時, 增殖速度減慢. Lee等[43]發現成骨細胞在pH = 7.4的環境下生理現象一切正常, 酸性條件下成骨細胞仍能夠進行增殖, 但隨著培養基pH值的降低, 成骨細胞的活性和增殖受到抑制, 細胞凋亡增加. 可見, 細胞對堿性環境較為敏感, 但對酸性卻有一定的耐受性, 且適應的酸性pH值有一定的可變空間. 在進行細胞培養時, 可將細胞接種于遠離負電極的位置. 由于電解速率不變, 也可適當增大腔高使培養腔的體積增大, 減緩培養液pH值的變化。
本文建立了力–電協同驅動下的細胞微流控培養腔模型, 并分析了細胞灌流培養在壓力梯度和電場驅動作用下流體刺激信號的傳導規律, 對比了兩物理場單獨和協同作用時的特點。 許多實驗研究者都嘗試施加兩個物理驅動場來探索最佳的流體刺激條件, 但是通過實驗來探索合適的刺激參數周期長、代價高且效果不明顯. 本文在外加物理場和細胞的響應流體切應力之間建立一個數學關系, 根據細胞的切應力和流速的響應范圍大致確定外部物理場的取值, 這樣可以為實驗參數的初調提供參考. 本模型的建立將細胞能感受到的流體刺激信號和外在的物理環境有機的聯系在一起, 是一個完整的信號傳導系統, 在特定驅動方式下, 微流控細胞培養相關的研究內容能在這一模型下開展. 模型仍存在著以下不足: ⑴當忽略細胞高度時, 細胞貼壁附近的流場會發生較大變化, 對切應力結果有一定影響; ⑵固液邊界是理想無滑移的; ⑶培養液假設為牛頓流體, 非牛頓流體更接近真實體液的屬性; ⑷忽略了電黏性效應, 培養液內的離子在壓力梯度驅動流的作用下產生流動電流(場), 該流動電流(場)對外加電場及流體均有影響.
5結論
人體通常處于復雜的受力(行走、靜坐、跳躍)環境中, 當這些外載荷力學信號傳遞到組織的微觀結構尺度時以微液流動刺激細胞響應的方式來引起組織結構重建或者塑建, 最終使得組織以最優結構適應外部力學環境. 這是組織環境中的載荷信號傳遞及反饋機理, 但這一機理的科學量化通路還不是很清楚, 特別是細胞參與下的力學生物學機制還不是很明確. 本文建立的力–電協同驅動矩形截面流的細胞培養腔理論模型, 將影響細胞生長/分化的液體壓力、流速、流率、切應力和外部物理環境(壓力梯度、電場與溫度等)聯系在一起, 可進一步為力–電耦合刺激細胞生長/分化機制研究及細胞組織工程參數優化提供參考. 盡管模型還存在著不足, 但初步可以得出下列參考結論:
力–電協同作用的流體刺激效果(解答)是單獨壓力梯度和電場驅動作用效果(解答)的代數疊加.
細胞培養腔內流體流速、切應力和流率均跟外部物理場(壓力、電場)的場強呈線性正比關系. 物理場的驅動頻率增大時, 壓力梯度驅動下的腔壁切應力非線性遞減而電場驅動下的腔壁流速和切應力則基本不變, 但兩場驅動下的流率均非線性減小. 可見, 細胞所感受的流體力學刺激信號(腔壁處的流速和切應力)對載荷幅值的變化相比頻率更為敏感.
當培養腔的腔高增大時, 壓力梯度驅動下的腔壁切應力和流率分別呈線性和非線性增大, 電場驅動下的腔壁流速、切應力及流率則均無變化.
培養液的溫度(35℃~39℃)對壓力、電場和力–電協同三種驅動模式下微液流動行為的影響均不明顯.
在細胞響應范圍內, 電場驅動善于提供較大的流體切應力幅值而壓力梯度驅動善于提供較大的流率幅值. 力–電協同作用時, 可以聯合壓力梯度和電場驅動的調控優勢.
文獻來源力學學報 doi:10.6052/0459-1879-17-317作者:王兆偉 武曉剛等(轉載僅供參考學習及傳遞有用信息,版權歸原作者所有,如侵犯權益,請聯系刪除)
