微通道反應器內對叔丁基苯酚的硝化反應
一、概述
微通道反應器是一種新型的化工設備,相對比傳統化工設備,傳質系數、傳熱系數高于2~3個數量級,因此,適用于強放熱快速反應。由于其設備體積小,內部持液量小,且為連續化過程,工業化實施過程易于實現自動化操作、安全性提高,對于工廠的安全風險評估也十分有益。
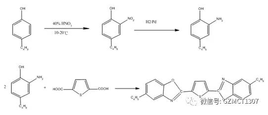
對叔丁基苯酚,又名4-叔丁基苯酚,英文名為p-tert-Butylphenol,分子式是C10H14O,分子量為150.2176,CAS登記號為98-54-4,白色結晶,具有輕微的苯酚臭味,用作合成抗氧劑。對叔丁基苯酚用來合成鄰氨基對叔丁基苯酚,該物質用于合成OB熒光增白劑,還可用于農藥、染料、感光材料等的生產。OB熒光增白劑主要用于PVC、PS、PE、PP、ABS等塑料及醋酸纖維、油漆、涂料、油墨等的增白。
反應方程式為:

二、實驗流程圖

三、實驗步驟
(1)連接裝置,測試系統是否泄漏;
(2)隨機設計實驗,觀察反應情況,氣相檢測,從而選定物料配比;
(3)分別調節溫度、硝酸濃度、溶劑類型等條件,摸索最優條件;
(4)實驗結束,清洗管路。
四、實驗數據及分析
(1)40%硝酸、氯仿作溶劑(1:3)、不同硝酸當量對反應的影響

硝化反應產生兩種主要副產物,3-硝基產物與二硝基產物。當硝酸用量不足時,原料無法轉化完全,產物含量較低;當硝酸用量較大時,二硝基產物增長較多,不利于反應。
(2)40%硝酸、氯仿作溶劑(1:3)、硝酸2mol當量,不同溫度對實驗的影響

硝化反應對于溫度比較敏感。溫度較低時,原料轉化不完,只有增加停留時間才可以使原料完全轉化;溫度過高,有利于副產物的產生。由上可知,溫度為15 ℃較合適。
(3)40%硝酸、硝酸2mol當量,不同溶劑對實驗的影響

不同溶劑條件下,產物含量變化較小,說明不同溶劑對反應的影響較小。
五、實驗結論
對叔丁基苯酚硝化反應中產生的主要副產物為3-硝基產物與二硝基產物。采用稀硝酸硝化時,反應并非瞬間完成,硝酸必須過量才能使反應完全反應。溫度過高、停留時間過長,都會增加副產物含量;溶劑對反應的影響不大,主產物收率相近;微通道硝化反應在較優條件下,主產物含量可在98%以上。
